欢迎光临:莱耀标准品网!
 您的位置:对照品 > 标准物质 > 一级标准物质 >
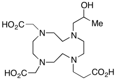
Desgadolinium Gadoteridol
产品基本信息
产品编号:D289885
产品名称:Desgadolinium Gadoteridol
产品CAS:120041-08-9
规格含量:25mg
产品价格:面议
联系我们:
产品详细介绍
标准品编号: D289885
名称: Desgadolinium Gadoteridol
别名: 1,4,7-Tris(carboxymethyl)-10-(2-hydroxypropyl)-1,4,7,10-tetraazacyclododecane; 10-(2-Hydroxypropyl)-1,4,7,10-tetraazacyclododecane-1,4,7-triacetic Acid; HP-DO3A; USP Gadoteridol Related Compound A;
CAS号: 120041-08-9
分子式: C₁₈H₃₄N₄O₇
分子量: 418.49
种类: Standards; Pharmaceutical/API Drug Impurities/Metabolites;
应用: Desgadolinium Gadoteridol is an impurity in the synthesis of Gadoteridol (G125900), which is used an MRI contrast chelating agent.
参考文献


2011-2018 信阳莱耀生物科技有限公司 @ 信阳埃尔文生物科技有限公司版权所有

中检所标准品,对照品,标准气体
Keywords: 中检所标准品 对照品 标准气体