欢迎光临:莱耀标准品网!
 您的位置:对照品 > 标准物质 > 一级标准物质 >
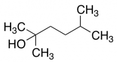
2,5-Dimethyl-2-hexanol
产品基本信息
产品编号:D461058
产品名称:2,5-Dimethyl-2-hexanol
产品CAS:3730-60-7
规格含量:100mg
产品价格:面议
联系我们:
产品详细介绍
标准品编号: D461058
名称: 2,5-Dimethyl-2-hexanol
CAS号: 3730-60-7
分子式: C₈H₁₈O
分子量: 130.23
种类: Building Blocks; Miscellaneous;
应用: 2,5-DIMETHYL-2-HEXANOL (cas# 3730-60-7) is a useful research chemical.
参考文献


2011-2018 信阳莱耀生物科技有限公司 @ 信阳埃尔文生物科技有限公司版权所有

中检所标准品,对照品,标准气体
Keywords: 中检所标准品 对照品 标准气体