欢迎光临:莱耀标准品网!
 您的位置:对照品 > 标准物质 > 一级标准物质 >
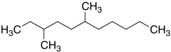
3,6-Dimethylundecane
产品基本信息
产品编号:D668205
产品名称:3,6-Dimethylundecane
产品CAS:17301-28-9
规格含量:50mg
产品价格:面议
联系我们:
产品详细介绍
标准品编号: D668205
名称: 3,6-Dimethylundecane
CAS号: 17301-28-9
分子式: C₁₃H₂₈
分子量: 184.36
种类: Standards; Miscellaneous; Carbohydrates and Oligosaccharides;
应用: 3,6-Dimethylundecane is a byproduct research molecule of interest in the hydroisomerization of n-alkanes, via Pt/H-ZSM-22 zeolite catalyst.
参考文献


2011-2018 信阳莱耀生物科技有限公司 @ 信阳埃尔文生物科技有限公司版权所有

中检所标准品,对照品,标准气体
Keywords: 中检所标准品 对照品 标准气体