您的位置:对照品 > 标准物质 > 一级标准物质 > |
|
|
|
| 产品基本信息 |
|
| 产品编号:E585900 |
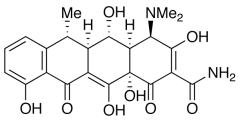
| 产品名称:4-Epi Doxycycline (>70%) |
| 产品CAS:6543-77-7 |
| 规格含量:1mg |
| 产品价格:面议 |
| 联系我们: |
|
|
|
|
|
| 产品详细介绍 |
| 标准品编号: |
E585900 |
| 名称: |
4-Epi Doxycycline (>70%) |
| 别名: |
(4R,4aR,5S,5aR,6R,12aS)-4-(Dimethylamino)-1,4,4a,5,5a,6,11,12a-octahydro-3,5,10,12,12a-pentahydroxy-6-methyl-1,11-dioxo-2-naphthacenecarboxamide; 6-Deoxy-4-epioxytetracycline |
| 杂质: |
Doxycycline EP Impurity C |
| CAS号: |
6543-77-7 |
| 分子式: |
C₂₂H₂₄N₂O₈ |
| 外观: |
Yellow to Brown Solid |
| 熔点: |
>115°C (dec.) |
| 分子量: |
444.43 |
| 储存: |
Amber Vial, -20°C Freezer, Under Inert Atmosphere |
| 溶解度: |
Methanol (Slightly, Heated), Water (Slightly) |
| 稳定性: |
Unstable in Solution |
| 种类: |
Standards; Chiral Molecules; Pharmaceutical/API Drug Impurities/Metabolites; |
| 应用: |
An alternative to doxycycline to control gene expression. |
| 参考文献 |
|
|
|
|
|
|
|
|