欢迎光临:莱耀标准品网!
 您的位置:对照品 > 标准物质 > 一级标准物质 >
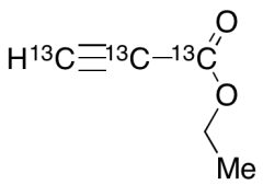
Ethyl Propargylate-13C3
产品基本信息
产品编号:E818062
产品名称:Ethyl Propargylate-13C3
产品CAS:1173019-08-3
规格含量:500mg
产品价格:面议
联系我们:
产品详细介绍
标准品编号: E818062
名称: Ethyl Propargylate-13C3
别名: Ethyl Propiolate-13C3; (Ethoxycarbonyl)acetylene-13C3; Carboethoxyacetylene-13C3; Ethyl 2-Propynoate-13C3; Ethyl Acetylenecarboxylate-13C3; Ethyl Acetylenemonocarboxylate-13C3; Ethyl Propynoate-13C3; Propynoic Acid Ethyl Ester-13C3
CAS号: 1173019-08-3
参考CAS: 未标记:623-47-2
分子式: C₂¹³C₃H₆O₂
外观: Clear Colorless Oil
熔点: N/A
分子量: 101.08
储存: 冰箱保存
溶解度: Chloroform (Slightly), Ethyl Acetate (Slightly), Methanol (Slightly)
种类: Building Blocks; Isotopic Labeled Analogues; Miscellaneous;
应用: Ethyl Propargylate-13C3 is a labeled analogue of Ethyl Propargylate(E818060). Ethyl Propargylate is used in the synthesis of substituted anthraquinones. Also used in the preparation of inhibitory pyrazolo[1,5-a]pyridines for anti-inflammatory activity.
危险品: Not a dangerous good if item is equal to or less than 1g/ml and there is less than 100g/ml in the package
参考文献


2011-2018 信阳莱耀生物科技有限公司 @ 信阳埃尔文生物科技有限公司版权所有

中检所标准品,对照品,标准气体
Keywords: 中检所标准品 对照品 标准气体