欢迎光临:莱耀标准品网!
 您的位置:对照品 > 标准物质 > 一级标准物质 >
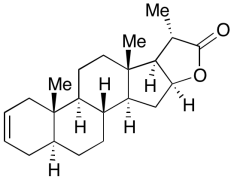
(5α,16β,20S)-16-Hydroxypregn-2-ene-20-carboxylic Acid γ-Lacto
产品基本信息
产品编号:H977665
产品名称:(5α,16β,20S)-16-Hydroxypregn-2-ene-20-carboxylic Acid γ-Lacto
产品CAS:1239665-04-3
规格含量:10mg
产品价格:面议
联系我们:
产品详细介绍
标准品编号: H977665
名称: (5α,16β,20S)-16-Hydroxypregn-2-ene-20-carboxylic Acid γ-Lactone
CAS号: 1239665-04-3
分子式: C₂₂H₃₂O₂
分子量: 328.49
种类: Standards; Pharmaceutical/API Drug Impurities/Metabolites; Anti-virals/Anti-retrovirals; Steroids;
应用: (5α,16β,20S)-16-Hydroxypregn-2-ene-20-carboxylic Acid γ-Lactone can be used in the synthetic preparation of the steroidal core of clathsterol, a novel anti-HIV-1 RT sulfated sterol from the sponge Clathria species.
参考文献


2011-2018 信阳莱耀生物科技有限公司 @ 信阳埃尔文生物科技有限公司版权所有

中检所标准品,对照品,标准气体
Keywords: 中检所标准品 对照品 标准气体