您的位置:对照品 > 标准物质 > 一级标准物质 > |
|
|
|
| 产品基本信息 |
|
| 产品编号:H948892 |
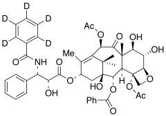
| 产品名称:6α-Hydroxy Paclitaxel-d5 |
| 产品CAS:1315376-90-9 |
| 规格含量:5mg |
| 产品价格:面议 |
| 联系我们: |
|
|
|
|
|
| 产品详细介绍 |
| 标准品编号: |
H948892 |
| 名称: |
6α-Hydroxy Paclitaxel-d5 |
| 别名: |
6α-Hydroxy Taxol-d5; |
| CAS号: |
1315376-90-9 |
| 参考CAS号: |
153212-75-0 (unlabelled) |
| 分子式: |
C₄₇H₄₆D₅NO₁₅ |
| 外观: |
白色至白色固体 |
| 熔点: |
>171°C (dec.) |
| 分子量: |
874.94 |
| 储存: |
-20°C Freezer |
| 溶解度: |
DMSO (Slightly), Methanol (Slightly) |
| 种类: |
Standards; Isotopic Labeled Analogues; Pharmaceutical/API Drug Impurities/Metabolites; |
| 应用: |
The major human labelled metabolite of Paclitaxel. |
| 参考文献 |
|
|
|
|
|
|
|
|