欢迎光临:莱耀标准品网!
 您的位置:对照品 > 标准物质 > 标准样品 >
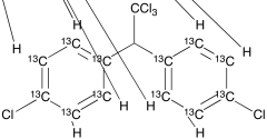
4,4'-Dichlorodiphenyltrichloroethane-13C6
产品基本信息
产品编号:D434198
产品名称:4,4'-Dichlorodiphenyltrichloroethane-13C6
产品CAS:104215-84-1
规格含量:10mg
产品价格:面议
联系我们:
产品详细介绍
标准品编号: D434198
名称: 4,4'-Dichlorodiphenyltrichloroethane-13C6
别名: 1,1'-(2,2,2-trichloroethylidene)bis[4-chlorobenzene]-13C6;1,1-Bis(4-chlorophenyl)-2,2,2-trichloroethane-13C6; 2,2,2-Trichloro-1,1-bis(4-chlorophenyl)ethane-13C6; 4,4'-DDT-13C6; Benzochloryl-13C6; Chlorophenothane-13C6; Chlorphenothan-13C6; Chlorphenotoxum-13C6; Clofenotan-13C6; NSC 8939-13C6; Neocidol-13C6; Parachlorocidum-13C6; Pentachlorin-13C6; DDT-13C6; p,p’-DDT-13C6
CAS号: 104215-84-1
分子式: C₂¹³C₁₂H₉Cl₅
分子量: 366.4
种类: Standards; Isotopic Labeled Analogues; Environmental Standards, Mutagens and Metabolites;
应用: Isotope labelled 4,4'-Dichlorodiphenyltrichloroethane a synthetic organochlorine insecticide. 4,4'-Dichlorodiphenyltrichloroethane functions by opening sodium ion channels in the insects’ neurons, causing them to fire spontaneously which in turn leads to death. 4,4'-Dichlorodiphenyltrichloroethane is banned for agricultural use in North America, it is still commonly used in some countries and particularly as a means of malaria control.
参考文献


2011-2018 信阳莱耀生物科技有限公司 版权所有

中检所标准品,对照品,标准气体
Keywords: 中检所标准品 对照品 标准气体