您的位置:对照品 > 标准物质 > 标准样品 > |
|
|
|
| 产品基本信息 |
|
| 产品编号:H998110 |
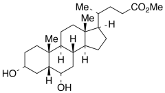
| 产品名称:α-Hyodeoxycholic Acid Methyl Ester |
| 产品CAS:2868-48-6 |
| 规格含量:10g |
| 产品价格:面议 |
| 联系我们: |
|
|
|
|
|
| 产品详细介绍 |
| 标准品编号: |
H998110 |
| 名称: |
α-Hyodeoxycholic Acid Methyl Ester |
| 别名: |
Hyodeoxycholic Acid Methyl Ester; Methyl 3α,6α-Dihydroxy-5β-cholan-24-oate; Methyl 3α,6α-Dihydroxy-5β-cholanate; Methyl 3α,6α-dihydroxy-5β-cholanoate; Methyl Hyodeoxycholanate; Methyl Hyodeoxycholate; α-Hyodeoxycholic Acid Methyl Ester |
| CAS号: |
2868-48-6 |
| 分子式: |
C₂₅H₄₂O₄ |
| 外观: |
白色固体 |
| 熔点: |
92-100°C |
| 分子量: |
406.6 |
| 储存: |
冰箱 |
| 溶解度: |
Chloroform (Slightly), Methanol (Slightly) |
| 种类: |
Standards; Steroids; Pharmaceutical/API Drug Impurities/Metabolites; |
| 应用: |
Inhibits the oxidation of cholesterol. A cholesterol derivative with hemolytic properties. |
| 参考文献 |
|
|
|
|
|
|