欢迎光临:莱耀标准品网!
 您的位置:对照品 > 标准物质 > 标准样品 >
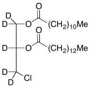
1-Lauroyl-2-myristoyl-3-chloropropanediol-d5
产品基本信息
产品编号:L178702
产品名称:1-Lauroyl-2-myristoyl-3-chloropropanediol-d5
产品CAS:
规格含量:5mg
产品价格:面议
联系我们:
产品详细介绍
标准品编号: L178702
名称: 1-Lauroyl-2-myristoyl-3-chloropropanediol-d5
参考CAS号: L178700 unlabelled no cas#
分子式: C₂₉H₅₀D₅ClO₄
分子量: 508.23
种类: Standards; Isotopic Labeled Analogues; Environmental Standards, Mutagens and Metabolites;
应用: 1-Lauroyl-2-myristoyl-3-chloropropanediol-d5 is labelled 1-Lauroyl-2-myristoyl-3-chloropropanediol (L178700), an analog of 1-Palmitoyl-2-stearoyl-3-chloropropanediol (P163500) which is a fatty acid ester with glycerol chlorohydrins found in a variety of vegetable oils.
参考文献


2011-2018 信阳莱耀生物科技有限公司 版权所有

中检所标准品,对照品,标准气体
Keywords: 中检所标准品 对照品 标准气体