欢迎光临:莱耀标准品网!
 您的位置:对照品 > 标准物质 > 标准样品 >
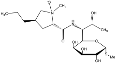
Lincomycin N-Oxide
产品基本信息
产品编号:L466110
产品名称:Lincomycin N-Oxide
产品CAS:
规格含量:10mg
产品价格:面议
联系我们:
产品详细介绍
标准品编号: L466110
名称: Lincomycin N-Oxide
分子式: C₁₈H₃₄N₂O₇S
分子量: 422.54
种类: Building Blocks; Miscellaneous;
应用: Lincomycin N-Oxide is an analog of Lincomycin (L466230). Lincomycin is a lincosamide antibiotic that forms cross-links within the peptidyl transferase loop region of the 23S rRNA. Inhibits bacterial protein synthesis. Antibacterial. This compound is a contaminant of emerging concern (CECs).
参考文献


2011-2018 信阳莱耀生物科技有限公司 版权所有

中检所标准品,对照品,标准气体
Keywords: 中检所标准品 对照品 标准气体