您的位置:对照品 > 标准物质 > 标准样品 > |
|
|
|
| 产品基本信息 |
|
| 产品编号:L467513 |
| 产品名称:Linoleic Acid-d4 |
| 产品CAS:79050-23-0 |
| 规格含量:50mg |
| 产品价格:面议 |
| 联系我们: |
|
|
|
|
|
| 产品详细介绍 |
| 标准品编号: |
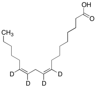
L467513 |
| 名称: |
Linoleic Acid-d4 |
| 别名: |
(9Z,12Z)-9,12-Octadecadienoic-9,10,12,13-d4 Acid |
| CAS号: |
79050-23-0 |
| 参考CAS号: |
60-33-3 |
| 分子式: |
C₁₈H₂₈D₄O₂ |
| 分子量: |
284.47 |
| 种类: |
Research Tools; Standards; Molecular Biology; Enzyme Activators and Inhibitors; |
| 应用: |
Linoleic Acid-d4 is a labeled activator of PPAR. |
| 参考文献 |
|
|
|
|
|
|