您的位置:对照品 > 标准物质 > 标准样品 > |
|
|
|
| 产品基本信息 |
|
| 产品编号:M158142 |
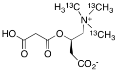
| 产品名称:Malonyl-L-carnitine-13C3 |
| 产品CAS: |
| 规格含量:2.5mg |
| 产品价格:面议 |
| 联系我们: |
|
|
|
|
|
| 产品详细介绍 |
| 标准品编号: |
M158142 |
| 名称: |
Malonyl-L-carnitine-13C3 |
| 参考CAS号: |
Unlabelled: 910825-21-7 |
| 分子式: |
C₇¹³C₃H₁₇NO₆ |
| 分子量: |
250.22 |
| 种类: |
Standards; Isotopic Labeled Analogues; |
| 应用: |
Malonyl-L-carnitine-13C3 is carbon-13 labeled Malonyl-L-carnitine, a diagnostic metabolite for screening dried blood spots by mass spectrometry. |
| 参考文献 |
|
|
|
|
|
|
|
|