欢迎光临:莱耀标准品网!
 您的位置:对照品 > 标准物质 > 环保部标准物质 >
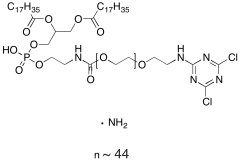
DSPE-PEG2000-cyanur
产品基本信息
产品编号:C982600
产品名称:DSPE-PEG2000-cyanur
产品CAS:1246304-74-4
规格含量:25mg
产品价格:面议
联系我们:
产品详细介绍
标准品编号: C982600
名称: DSPE-PEG2000-cyanur
别名: α-[(9R)-6-Hydroxy-6-oxido-1,12-dioxo-9-[(1-oxooctadecyl)oxy]-5,7,11-trioxa-2-aza-6-phosphanonacos-1-yl]-ω-[2-[(4,6-dichloro-1,3,5-triazin-2-yl)amino]ethoxy]-poly(oxy-1,2-ethanediyl) Ammonium Salt
CAS号: 1246304-74-4
分子式: C₄₈H₉₁Cl₂N₆O₈P + (OCH ₂CH₂)n
分子量: 2982.15
类别: Standards; Enzyme Activators and Inhibitors; Pharmaceutical/API Drug Impurities/Metabolites; Lipids/Fatty Acids, Glycerol Derivatives;
应用: DSPE-PEG2000-cyanur is used as a conugated liposomal molecule for targeted drug delivery and microRNA delivery to inhibit tumor growth in lung cancer.
参考文献


2011-2018 信阳莱耀生物科技有限公司 @ 信阳埃尔文生物科技有限公司版权所有

中检所标准品,对照品,标准气体
Keywords: 中检所标准品 对照品 标准气体