欢迎光临:莱耀标准品网!
 您的位置:对照品 > 标准物质 > 环保部标准物质 >
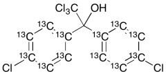
Dicofol-13C12
产品基本信息
产品编号:D436702
产品名称:Dicofol-13C12
产品CAS:
规格含量:0.5mg
产品价格:面议
联系我们:
产品详细介绍
标准品编号: D436702
名称: Dicofol-13C12
别名: 4-Chloro-α-(4-chlorophenyl)-α-(trichloromethyl)-benzenemethanol-13C12; 4,4'-Dichloro-α-(trichloromethyl)-benzhydrol-13C12; 1,1-Bis(4-chlorophenyl)-2,2,2-trichloroethanol-13C12; 2,2,2-Trichloro-1,1-di(4-chlorophenyl)ethanol-13C12; Acarin-13C12; Agravertin-13C12; Chloretanol-13C12; Dichlorokelthane-13C12;;
参考CAS号: 未标记:115-32-2
分子式: C₂¹³C₁₂H₉Cl₅O
外观: 白色至白色固体
分子量: 382.4
储存: 冰箱保存
溶解性: DMSO (Slightly), Methanol (Slightly)
种类: Standards; Isotopic Labeled Analogues;
应用: Dicofol-13C12 is isotopically labelled analogue of Dicofol (D436700), which is an organochlorine pesticide. Dicofol is a non-systemic acaricide/miticide registered in the US and Canada for use on a wide variety of crops.
危险品: Not a dangerous good if item is equal to or less than 1g/ml and there is less than 100g/ml in the package
参考文献


2011-2018 信阳莱耀生物科技有限公司 @ 信阳埃尔文生物科技有限公司版权所有

中检所标准品,对照品,标准气体
Keywords: 中检所标准品 对照品 标准气体