欢迎光临:莱耀标准品网!
 您的位置:对照品 > 标准物质 > 环保部标准物质 >
N-Methyl-L-leucyl-L-valyl-N-methyl-L-leucyl-L-alanyl-D-alanyl-N-methyl-L-leucyl-N-methyl-L
产品基本信息
产品编号:M315685
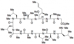
产品名称:N-Methyl-L-leucyl-L-valyl-N-methyl-L-leucyl-L-alanyl-D-alanyl-N-methyl-L-leucyl-N-methyl-L
产品CAS:286852-20-8
规格含量:50mg
产品价格:面议
联系我们:
产品详细介绍
标准品编号: M315685
名称: N-Methyl-L-leucyl-L-valyl-N-methyl-L-leucyl-L-alanyl-D-alanyl-N-methyl-L-leucyl-N-methyl-L-leucyl-N-methyl-L-valyl-(2S,3R,4R,6E)-3-(acetyloxy)-4-methyl-2-(methylamino)-6-octenoyl-(2S)-2-aminobutanoyl-N-methyl-glycine Methyl Ester
CAS号: 286852-20-8
分子式: C₆₅H₁₁₇N₁₁O₁₄
外观: 白色固体
分子量: 1276.69
溶解度: DCM, Methanol
种类: Research Tools; Molecular Biology; Amino Acids/Peptides;
应用: N-Methyl-L-leucyl-L-valyl-N-methyl-L-leucyl-L-alanyl-D-alanyl-N-methyl-L-leucyl-N-methyl-L-leucyl-N-methyl-L-valyl-(2S,3R,4R,6E)-3-(acetyloxy)-4-methyl-2-(methylamino)-6-octenoyl-(2S)-2-aminobutanoyl-N-methyl-glycine Methyl Ester is an intermediate in the synthesis of Cyclosporin AM 4N (C989410), a metabolite of Cyclosporin A (C988900). Cyclosporin A is a hydrophobic cyclic undecapeptide that is used as a potent immunosuppressive agent that has application in human organ transplantation. Cyclosporin A works by inhibiting subsets of T lymphocytes to facilitate organ transplantation.
参考文献


2011-2018 信阳莱耀生物科技有限公司 版权所有

中检所标准品,对照品,标准气体
Keywords: 中检所标准品 对照品 标准气体