欢迎光临:莱耀标准品网!
 您的位置:对照品 > 标准物质 > 环保部标准物质 >
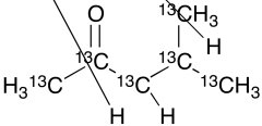
4-Methyl-2-pentanone-13C6
产品基本信息
产品编号:M328028
产品名称:4-Methyl-2-pentanone-13C6
产品CAS:
规格含量:10mg
产品价格:面议
联系我们:
产品详细介绍
标准品编号: M328028
名称: 4-Methyl-2-pentanone-13C6
别名: 2-Methyl-4-pentanone-13C6; 2-Methylpropyl Methyl Ketone-13C6; 4-Methyl-2-oxopentane-13C6; Hexone-13C6; Isobutyl Methyl Ketone-13C6; Isopropylacetone-13C6; MIBK-13C6; MIK-13C6; Methyl 2-Methylpropyl Ketone-13C6; Methyl iso-Butyl Ketone-13C6; Methyl Isobutyl Ketone-13C6; NSC 5712-13C6; ZMD-D-13C6
参考CAS号: Unlabelled: 108-10-1
分子式: ¹³C₆H₁₂O
分子量: 106.11
种类: Building Blocks; Isotopic Labeled Analogues;
应用: Isotope labelled 4-Methyl-2-pentanone is used as a solvent for nitrocellulose, lacquers, and certain polymers and resins. 4-Methyl-2-pentanone is also a reactant used to synthesize 2-(1-Hydroxy-3-methylbutylidene)-1H-indene-1,3(2H)-dione (H953650).
危险品: Not a dangerous good if item is equal to or less than 1g/ml and there is less than 100g/ml in the package
参考文献


2011-2018 信阳莱耀生物科技有限公司 版权所有

中检所标准品,对照品,标准气体
Keywords: 中检所标准品 对照品 标准气体