您的位置:对照品 > 标准物质 > 环保部标准物质 > |
|
|
|
| 产品基本信息 |
|
| 产品编号:N367992 |
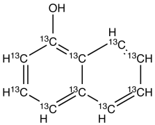
| 产品名称:1-Naphthol-13C10 |
| 产品CAS:1329509-54-7 |
| 规格含量:2.5mg |
| 产品价格:面议 |
| 联系我们: |
|
|
|
|
|
| 产品详细介绍 |
| 标准品编号: |
N367992 |
| 名称: |
1-Naphthol-13C10 |
| 别名: |
1-Naphthalenol-13C10 ; 1-Hydroxynaphthalene-13C10 ; 1-Naphthyl Alcohol-13C10 ; C.I. 76605-13C10 ; Fouramine ERN-13C10 ; Fourrine 99-13C10 ; Fourrine ERN-13C10 ; Furro ER-13C10 ; NSC 9586-13C10 ; Nako TRB-13C10 ; Naphthol-1-13C10 ; Naphthyl-1-ol-13C10 ; Tertral ERN-13C10 ; Ursol ERN-13C10 ; Zoba ERN-13C10 ; α-Hydroxynaphthalene-13C10 ; α-Naphthol-13C10 ; α-Naphthyl Alcohol-13C10 ; |
| CAS号: |
1329509-54-7 |
| 参考CAS号: |
90-15-3-unlabelled |
| 分子式: |
¹³C₁₀H₈O |
| 分子量: |
154.1 |
| 种类: |
Building Blocks; Isotopic Labeled Analogues; |
| 应用: |
Labelled 1-Naphthol (N367990). Used in the manufacturing of dyes, intermediates, synthetic perfumes. |
| 危险品: |
Not a dangerous good if item is equal to or less than 1g/ml and there is less than 100g/ml in the package |
| 参考文献 |
|
|
|
|
|
|
|
|