欢迎光临:莱耀标准品网!
 您的位置:对照品 > 标准物质 > 计量院标准物质 >
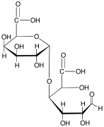
Digalacturonic Acid
产品基本信息
产品编号:D446320
产品名称:Digalacturonic Acid
产品CAS:5894-59-7
规格含量:10mg
产品价格:面议
联系我们:
产品详细介绍
标准品编号: D446320
名称: Digalacturonic Acid
别名: D-4-O-α-D-Galactopyranuronosyl-galacturonic Acid;
CAS号: 5894-59-7
分子式: C₁₂H₁₈O₁₃
外观: 白色至白色固体
熔点: >119°C (dec.)
分子量: 370.26
储存: Hygroscopic, 冰箱保存, under inert atmosphere
溶解性: DMSO (Slightly), Methanol (Slightly), Water (Slightly)
稳定性: Hygroscopic
种类: Standards; Pharmaceutical/API Drug Impurities/Metabolites; Carbohydrates and Oligosaccharides;
应用: Digalacturonic Acid act as signaling molecules in plants, initiating the proteinase inhibitor genes in plants. Also used in the synthesis of adhesion inhibitors for Streptococcus.
参考文献


2011-2018 信阳莱耀生物科技有限公司 版权所有

中检所标准品,对照品,标准气体
Keywords: 中检所标准品 对照品 标准气体