欢迎光临:莱耀标准品网!
 您的位置:对照品 > 标准物质 > 计量院标准物质 >
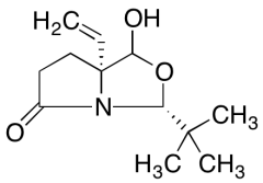
(3R,7aR)-3-(1,1-Dimethylethyl)-7a-ethenyltetrahydro-1-hydroxy-3H,5H-pyrrolo[1,2-c]oxazol-5
产品基本信息
产品编号:D461096
产品名称:(3R,7aR)-3-(1,1-Dimethylethyl)-7a-ethenyltetrahydro-1-hydroxy-3H,5H-pyrrolo[1,2-c]oxazol-5
产品CAS:1214741-21-5
规格含量:100mg
产品价格:面议
联系我们:
产品详细介绍
标准品编号: D461096
名称: (3R,7aR)-3-(1,1-Dimethylethyl)-7a-ethenyltetrahydro-1-hydroxy-3H,5H-pyrrolo[1,2-c]oxazol-5-one
CAS号: 1214741-21-5
分子式: C₁₂H₁₉NO₃
分子量: 225.28
种类: Building Blocks; Miscellaneous;
应用: (3R,7aR)-3-(1,1-Dimethylethyl)-7a-ethenyltetrahydro-1-hydroxy-3H,5H-pyrrolo[1,2-c]oxazol-5-one is a useful intermediate for organic synthesis.
参考文献


2011-2018 信阳莱耀生物科技有限公司 版权所有

中检所标准品,对照品,标准气体
Keywords: 中检所标准品 对照品 标准气体