欢迎光临:莱耀标准品网!
 您的位置:对照品 > 标准物质 > 计量院标准物质 >
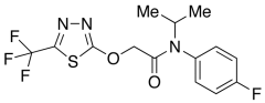
Flufenacet
产品基本信息
产品编号:F599420
产品名称:Flufenacet
产品CAS:142459-58-3
规格含量:1g
产品价格:面议
联系我们:
产品详细介绍
标准品编号: F599420
名称: Flufenacet
别名: Fluthiamid; Fluthiamide; Thiafluamide; BAY-FOE 5043; Define DF; FOE 5043; N-(4-Fluorophenyl)-N-(1-methylethyl)-2-[[5-(trifluoromethyl)-1,3,4-thiadiazol-2-yl]oxy]acetamide;
CAS号: 142459-58-3
分子式: C₁₄H₁₃F₄N₃O₂S
外观: 白色至白色固体
熔点: 79-81ºC
分子量: 363.33
储存: 冰箱保存
溶解度: Chloroform (Slightly), Ethyl Acetate (Slightly), Methanol (Slightly)
种类: Standards; Environmental Standards, Mutagens and Metabolites; Pesticides;
应用: Flufenacet is an anilide based herbicide that is applied to the soil surface or incorporated before the crop is emerged. Flufenacet is often used in field corn, corn grown for silage or soybeans to control annual grasses and broadleaf weeds.
危险品: Not a dangerous good if item is equal to or less than 1g/ml and there is less than 100g/ml in the package
参考文献


2011-2018 信阳莱耀生物科技有限公司 版权所有

中检所标准品,对照品,标准气体
Keywords: 中检所标准品 对照品 标准气体