欢迎光临:莱耀标准品网!
 您的位置:对照品 > 标准物质 > 计量院标准物质 >
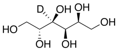
D-Glucitol-4-d
产品基本信息
产品编号:G415815
产品名称:D-Glucitol-4-d
产品CAS:
规格含量:25mg
产品价格:面议
联系我们:
产品详细介绍
标准品编号: G415815
名称: D-Glucitol-4-d
别名: D-Sorbitol-4-d; Glucarine-4-d; Esasorb-4-d; Cholaxine-4-d; Karion-4-d; Sionite-4-d; Sionon-4-d;
参考CAS号: Unlabelled: 50-70-4
分子式: C₆H₁₃DO₆
分子量: 183.18
种类: Building Blocks; Isotopic Labeled Analogues;
应用: Isotope labelled D-Glucitol is a sugar alcohol obtained from the reduction of glucose and is naturally found in various fruits such as apples, pears and peaches. D-Glucitol has been widely used as a sweetener, laxative, various medical applications and in cosmetic products.
参考文献


2011-2018 信阳莱耀生物科技有限公司 版权所有

中检所标准品,对照品,标准气体
Keywords: 中检所标准品 对照品 标准气体