欢迎光临:莱耀标准品网!
 您的位置:对照品 > 标准物质 > 计量院标准物质 >
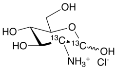
D-Glucosamine-1,2-13C2 Hydrochloride
产品基本信息
产品编号:G514955
产品名称:D-Glucosamine-1,2-13C2 Hydrochloride
产品CAS:
规格含量:10mg
产品价格:面议
联系我们:
产品详细介绍
标准品编号: G514955
名称: D-Glucosamine-1,2-13C2 Hydrochloride
别名: 2-Amino-2-deoxy-D-glucose-1,2-13C2 Hydrochloride
参考CAS号: Unlabelled: 66-84-2
分子式: C₄¹³C₂H₁₄ClNO₅
外观: 白色固体
熔点: >170°C (dec.)
分子量: 217.62
储存: 冰箱, Under Inert Atmosphere
溶解度: Methanol (Very Slightly), Water (Very Slightly)
种类: Building Blocks; Isotopic Labeled Analogues; Pharmaceutical/API Drug Impurities/Metabolites; Carbohydrates and Oligosaccharides;
应用: Isotope Labelled Derivative of D-Glucosamine (G514950), an amino sugar and a prominent precursor in the biochemical synthesis of glycosylate proteins and lipids.
参考文献


2011-2018 信阳莱耀生物科技有限公司 版权所有

中检所标准品,对照品,标准气体
Keywords: 中检所标准品 对照品 标准气体