您的位置:对照品 > 标准物质 > 计量院标准物质 >
产品基本信息
产品编号:G412102
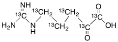
产品名称:δ-Guanido-α-ketovaleric Acid-13C6
产品CAS:
规格含量:2.5mg
产品价格:面议
联系我们:
产品详细介绍
标准品编号:
G412102
名称:
δ-Guanido-α-ketovaleric Acid-13C6
别名:
5-Guanidino-2-oxovaleric Acid-13C6; 5-[(Aminoiminomethyl)amino]-2-oxopentanoic Acid-13C6; 2-Oxo-5-guanidinovaleric Acid-13C6; α-keto-δ-Guanidinovaleric Acid-13C6; δ-Guanidino-α-oxovaleric Acid-13C6
参考CAS号:
类似: 3715-10-4
分子式:
¹³C₆H₁₁N₃O₃
分子量:
179.13
种类:
Standards; Isotopic Labeled Analogues;
应用:
δ-Guanido-α-ketovaleric Acid-13C6 is the labelled form of δ-Guanido-α-ketovaleric Acid (3715-10-4) which is a useful flavouring ingredient and is a component of Cheddar cheese flavour.
参考文献
Van den Ouweland, G., et. al: PCT Int. Appl. WO9610927 A1, 19960418 (1996); Ney, K., et, al.: Eur. Food Res. Technol., 146, 337 (1971)