您的位置:对照品 > 标准物质 > 计量院标准物质 > |
|
|
|
| 产品基本信息 |
|
| 产品编号:H948792 |
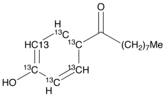
| 产品名称:4'-Hydroxynonanophenone-13C6 |
| 产品CAS: |
| 规格含量:10mg |
| 产品价格:面议 |
| 联系我们: |
|
|
|
|
|
| 产品详细介绍 |
| 标准品编号: |
H948792 |
| 名称: |
4'-Hydroxynonanophenone-13C6 |
| 别名: |
1-(4-Hydroxyphenyl)-1-nonanone-13C6; Pelargonyl-4-phenol-13C6; |
| 参考CAS号: |
14392-69-9 - unlabelled |
| 分子式: |
C₉¹³C₆H₂₂O₂ |
| 外观: |
Off-white Solid |
| 分子量: |
240.29 |
| 溶解度: |
Dichloromethane |
| 种类: |
Building Blocks; Isotopic Labeled Analogues; Pharmaceutical/API Drug Impurities/Metabolites; |
| 应用: |
Used in the synthesis and biochemical evaluation of a series of methanesulfonate derivatives. |
| 参考文献 |
|
|
|
|
|
|