欢迎光临:莱耀标准品网!
 您的位置:对照品 > 标准物质 > 计量院标准物质 >
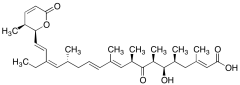
Leptomycin B
产品基本信息
产品编号:L329650
产品名称:Leptomycin B
产品CAS:87081-35-4
规格含量:25μg
产品价格:面议
联系我们:
产品详细介绍
标准品编号: L329650
名称: Leptomycin B
别名: 19-(3,6-Dihydro-3-methyl-6-oxo-2H-pyran-2-yl)-17-ethyl-6-hydroxy-3,5,7,9,11,15-hexamethyl-8-oxo-2,10,12,16,18-Nonadecapentaenoic Acid; (2E,5S,6R,7S,9R,10E,12E,15R,16Z,18E)-19-[(2S,3S)-3,6-Dihydro-3-methyl-6-oxo-2H-pyran-2-yl]-17-ethyl-6-hydroxy-3,5,7,9,11,15-hexamethyl-8-oxo-2,10,12,16,18-nonadecapentaenoic Acid; Antibiotic CI 940; Antibiotic CL 1957A; CI 940; CL 1957A; Elactocin; Mantuamycin; NSC 364372; PD 114720;
CAS号: 87081-35-4
分子式: C₃₃H₄₈O₆
外观: 白色至淡黄色固体
熔点: >56°C (dec.)
分子量: 540.73
储存: -20°C Freezer, Under inert atmosphere
溶解度: DMSO (Slightly), Methanol (Slightly)
种类: Standards; Enzyme Activators and Inhibitors; Pharmaceutical/API Drug Impurities/Metabolites;
应用: Leptomycin B is a Streptomyces metabolite that inhibits nuclear export of the human immunodeficiency virus type 1 regulatory protein Rev at low nanomolar concentrations. It covalently binds to cysteine residue in the center of CRM1/exportin 1 protein.
参考文献


2011-2018 信阳莱耀生物科技有限公司 版权所有

中检所标准品,对照品,标准气体
Keywords: 中检所标准品 对照品 标准气体