您的位置:对照品 > 标准物质 > 计量院标准物质 > |
|
|
|
| 产品基本信息 |
|
| 产品编号:M288600 |
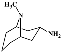
| 产品名称:endo-9-Methyl-9-azabicyclo[3.3.1]nonan-3-amine |
| 产品CAS:76272-56-5 |
| 规格含量:100mg |
| 产品价格:面议 |
| 联系我们: |
|
|
|
|
|
| 产品详细介绍 |
| 标准品编号: |
M288600 |
| 名称: |
endo-9-Methyl-9-azabicyclo[3.3.1]nonan-3-amine |
| 别名: |
β-3-Amino-9-methyl-9-azabicyclo[3.3.1]nonane; Granisetron Impurity E (free base); Granisetron Impurity E |
| 杂质: |
Granisetron EP Impurity E |
| CAS号: |
76272-56-5 |
| 分子式: |
C₉H₁₈N₂ |
| 外观: |
Pale Yellow to Dark Yellow Sticky Oil |
| 熔点: |
N/A |
| 分子量: |
154.25 |
| 储存: |
冰箱 |
| 溶解度: |
DMSO (Slightly), Methanol (Slightly) |
| 种类: |
Standards; Chiral Molecules; Pharmaceutical/API Drug Impurities/Metabolites; |
| 应用: |
Granisetron impurity E. An intermediate of Granisetron. |
| 参考文献 |
|
|
|
|
|
|
|
|