欢迎光临:莱耀标准品网!
 您的位置:对照品 > 标准物质 > 计量院标准物质 >
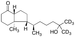
(1R,7AR)-1-((R)-6-Hydroxy-6-methylheptan-2-yl)-7A-methylhexahydro-1H-inden-4(2H)-one-d6
产品基本信息
产品编号:H946247
产品名称:(1R,7AR)-1-((R)-6-Hydroxy-6-methylheptan-2-yl)-7A-methylhexahydro-1H-inden-4(2H)-one-d6
产品CAS:
规格含量:1mg
产品价格:面议
联系我们:
产品详细介绍
标准品编号: H946247
名称: (1R,7AR)-1-((R)-6-Hydroxy-6-methylheptan-2-yl)-7VIP(LA)methylhexahydro-1H-inden-4(2H)-one-d6
别名: (1R,3aR,7aR)-Octahydro-1-[(1R)-5-hydroxy-1,5-dimethylhexyl]-7a-methyl-4H-inden-4-one-d6; [1R-[1α(R*),3aβ,7aα]]-Octahydro-1-(5-hydroxy-1,5-dimethylhexyl)-7a-methyl-4H-Inden-4-one-d6; 25-Hydroxygrundmann's Ketone; 5'-Hydroxygrundmann's Ketone;
参考CAS号: Unlabeled Form: 70550-73-1
分子式: C₁₈H₂₆D₆O₂
分子量: 286.48
种类: Standards; Isotopic Labeled Analogues;
应用: (1R,7AR)-1-((R)-6-Hydroxy-6-methylheptan-2-yl)-7VIP(LA)methylhexahydro-1H-inden-4(2H)-one-d6 is an intermediate used in the synthesis of Calcitriol-d6 (C144502), which is the biologically active form of vitamin D3. Calcitriol-d6 is a calcium regulator; vitamin (antirachitic); antihyperparathyroid; antineoplastic; antipsoriatic.
参考文献


2011-2018 信阳莱耀生物科技有限公司 版权所有

中检所标准品,对照品,标准气体
Keywords: 中检所标准品 对照品 标准气体