欢迎光临:莱耀标准品网!
 您的位置:对照品 > 标准物质 > 农残标准物质 >
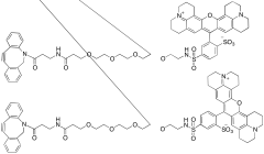
DBCO-PEG4-5/6-Texas Red
产品基本信息
产品编号:D194985
产品名称:DBCO-PEG4-5/6-Texas Red
产品CAS:
规格含量:10mg
产品价格:面议
联系我们:
产品详细介绍
标准品编号: D194985
名称: DBCO-PEG4-5/6-Texas Red
别名: Dibenzylcyclooctyne-PEG4-5/6-Sulforhodamine 101; DBCO-PEG4-Texas Red
分子式: C₆₀H₆₅N₅O₁₂S₂
分子量: 1112.31
种类: Research Tools; Molecular Biology; Fluorescent Reagents;
应用: DBCO-PEG4-5/6-Texas Red, is a Fluorescent dye, that can be used for various labeling applications in chemistry. (Abs/Em = 586/601 nm)
参考文献


2011-2018 信阳莱耀生物科技有限公司 @ 信阳埃尔文生物科技有限公司版权所有

中检所标准品,对照品,标准气体
Keywords: 中检所标准品 对照品 标准气体