您的位置:对照品 > 标准物质 > 农残标准物质 > |
|
|
|
| 产品基本信息 |
|
| 产品编号:D435682 |
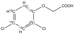
| 产品名称:2,4-Dichlorophenoxyacetic Acid-13C6 |
| 产品CAS:150907-52-1 |
| 规格含量:5mg |
| 产品价格:面议 |
| 联系我们: |
|
|
|
|
|
| 产品详细介绍 |
| 标准品编号: |
D435682 |
| 名称: |
2,4-Dichlorophenoxyacetic Acid-13C6 |
| 别名: |
2-(2,4-Dichlorophenoxy)acetic Acid-13C6; 2,4-D-13C6; Diclordon-13C6; Dicopur-13C6; Esterone-13C6; Fernimine-13C6; Foredex 75-13C6; Trinoxol-13C6; 2,4-D-13C6 |
| CAS号: |
150907-52-1 |
| 参考CAS号: |
94-75-7-未标记 |
| 分子式: |
C₂¹³C₆H₆Cl₂O₃ |
| 外观: |
白色至白色固体 |
| 熔点: |
>130°C |
| 分子量: |
226.99 |
| 储存: |
冰箱保存 |
| 溶解性: |
DMSO (Slightly), Methanol (Slightly) |
| 种类: |
Standards; Isotopic Labeled Analogues; |
| 应用: |
Herbicide. Used to increase latex output of old rubber trees. |
| 危险品: |
Not a dangerous good if item is equal to or less than 1g/ml and there is less than 100g/ml in the package |
| 参考文献 |
|
|
|
|
|
|
|
|