欢迎光临:莱耀标准品网!
 您的位置:对照品 > 标准物质 > 农残标准物质 >
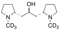
Dihydrocuscohygrine-d6
产品基本信息
产品编号:D448832
产品名称:Dihydrocuscohygrine-d6
产品CAS:1346602-92-3
规格含量:25mg
产品价格:面议
联系我们:
产品详细介绍
标准品编号: D448832
名称: Dihydrocuscohygrine-d6
别名: meso-Dihydrocuscohygrine-d6; 1-Methyl-α-[(1-methyl-2-pyrrolidinyl)methyl]-2-pyrrolidineethanol-d6
CAS号: 1346602-92-3
参考CAS号: 80408-56-6 + 80408-55-5 - unlabelled
分子式: C₁₃H₂₀D₆N₂O
外观: Light Brown Solid
分子量: 232.4
溶解性: Dichloromethane, Ether, Ethyl Acetate, Methanol
种类: Standards; Isotopic Labeled Analogues;
应用: pro-pro-(s) Dihydrocuscohygrine and pro-pro-(r) Dihydrocuscohygrine mixture. Cuscohygrine (C845000) derivative. An alkaloid compound found in Convolvulus lanatus.
参考文献


2011-2018 信阳莱耀生物科技有限公司 版权所有

中检所标准品,对照品,标准气体
Keywords: 中检所标准品 对照品 标准气体