欢迎光临:莱耀标准品网!
 您的位置:对照品 > 标准物质 > 农残标准物质 >
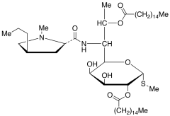
7-Epi-lincomycin 2,7-Dipalmitate-d62
产品基本信息
产品编号:E588567
产品名称:7-Epi-lincomycin 2,7-Dipalmitate-d62
产品CAS:
规格含量:5mg
产品价格:面议
联系我们:
产品详细介绍
标准品编号: E588567
名称: 7-Epi-lincomycin 2,7-Dipalmitate-d62
分子式: C₅₀H₃₂D₆₂N₂O₈S
分子量: 945.74
种类: Standards; Isotopic Labeled Analogues; Pharmaceutical/API Drug Impurities/Metabolites; Carbohydrates and Oligosaccharides;
应用: Labelled 7-Epi-lincomycin 2,7-Dipalmitate is a Lincomycin 2-diester, similar to Lincomycin 2-Palmitate (L466300), the monoester, which shows highly active anti-bacterial properties.
参考文献


2011-2018 信阳莱耀生物科技有限公司 版权所有

中检所标准品,对照品,标准气体
Keywords: 中检所标准品 对照品 标准气体