您的位置:对照品 > 标准物质 > 农残标准物质 >
产品基本信息
产品编号:K661002
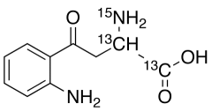
产品名称:rac Kynurenine-13C2,15N
产品CAS:1391051-69-6
规格含量:10mg
产品价格:面议
联系我们:
产品详细介绍
标准品编号:
K661002
名称:
rac Kynurenine-13C2,15N
别名:
α,2-Diamino-γ-oxobenzenebutanoic Acid-13C2,15N; 3-Anthraniloylalanine-13C2,15N; DL-Kynurenine-13C2,15N; Kynurenin-13C2,15N; dl-Kynurenine-13C2,15N
CAS号:
1391051-69-6
参考CAS号:
类似: 343-65-7
分子式:
C₈¹³C₂H₁₂N¹⁵NO₃
分子量:
211.19
种类:
Building Blocks; Isotopic Labeled Analogues;
应用:
A labelled tryptophan metabolite, is a precursor of kynurenic acid, which is an antagonist of N-methyl-aspartate receptor. An amino acid produced in the body from tryptophan.
参考文献
Swartz, K., et al.: J. Neurosci., 10, 2965 (1990), Hasegawa, H., et al.: Anal. Bioanal. Chem., 377, 886 (2003), Tsai, Y., et al.: Anal. Biochem., 319, 34 (2003), Mitsuhashi, S., et al.: Anal. Chim. Acta, 584, 315 (2007),