欢迎光临:莱耀标准品网!
 您的位置:对照品 > 标准物质 > 铁标准物质 >
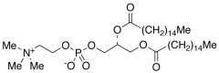
1,​2-​Dipalmitoyl-​sn-​glycero-​3-​phosphocholine (Colfosceril Palmitate)
产品基本信息
产品编号:C640500
产品名称:1,​2-​Dipalmitoyl-​sn-​glycero-​3-​phosphocholine (Colfosceril Palmitate)
产品CAS:63-89-8
规格含量:1g
产品价格:面议
联系我们:
产品详细介绍
标准品编号: C640500
名称: 1,​2-​Dipalmitoyl-​sn-​glycero-​3-​phosphocholine (Colfosceril Palmitate)
别名: (7R)-4-Hydroxy-N,N,N-trimethyl-10-oxo-7-[(1-oxohexadecyl)oxy]-3,5,9-trioxa-4-phosphapentacosan-1-aminium Inner Salt 4-Oxide; 1,2-Bis(hexadecanoyl)-sn-glycero-3-phosphocholine; 1,2-Bis(palmitoyl)-sn-glycero-3-phosphocholine; L-1,2-Dipalmitoylphosphatidyl -choline; L-DPPC; L-Dipalmitoyl Lecithin; L-α-1,2-Dipalmitoyl Lecithin; L-α-DPPC; L-α-Dipalmitoylecithin; L-α-Dipalmitoyllecithin; L-α-Dipalmitoylphosphatidylcholine; L-α-Lecithin; L-β,γ-Dipalmitoyl-α-lecithin; L-β,γ-Dipalmitoyl-α-phosphatidylcholine; L-β,γ-Dipalmitoylphosphatidylcholine;
CAS号: 63-89-8
分子式: C₄₀H₈₀NO₈P
外观: 白色至白色固体
熔点: >210°C (dec.)
分子量: 734.04
储存: Hygroscopic, -20°C Freezer, Under inert atmosphere
溶解度: Chloroform (Slightly), Methanol (Slightly)
稳定性: Hygroscopic
类别: Standards; Pharmaceutical/API Drug Impurities/Metabolites; Lipids/Fatty Acids, Glycerol Derivatives; Environmental Standards, Mutagens and Metabolites;
应用: Colfosceril Palmitate is a major phospholipid constituent and primary surface tension lowering component of natural lung surfactant. Colfosceril Palmitate is used as pulmonary surfactant and diagnostic aid (fetal lung maturity).
参考文献


2011-2018 信阳莱耀生物科技有限公司 @ 信阳埃尔文生物科技有限公司版权所有

中检所标准品,对照品,标准气体
Keywords: 中检所标准品 对照品 标准气体