欢迎光临:莱耀标准品网!
 您的位置:对照品 > 标准物质 > 铁标准物质 >
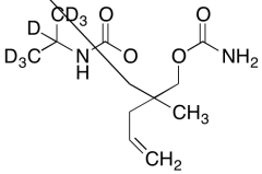
Dehydro Carisoprodol-d7
产品基本信息
产品编号:D229823
产品名称:Dehydro Carisoprodol-d7
产品CAS:
规格含量:5mg
产品价格:面议
联系我们:
产品详细介绍
标准品编号: D229823
名称: Dehydro Carisoprodol-d7
别名: N-Isopropyl-2-methyl-2-propenyl-1,3-propanedioldicarbamate-d7;
分子式: C₁₂H₁₅D₇N₂O₄
分子量: 265.36
种类: Standards; Isotopic Labeled Analogues; Pharmaceutical/API Drug Impurities/Metabolites;
应用: Dehydro Carisoprodol-d7 is the d7 labelled analogue of Dehydro Carisoprodol (D229820) which is an impurity of Carisoprodol (a muscle relaxant).
参考文献


2011-2018 信阳莱耀生物科技有限公司 @ 信阳埃尔文生物科技有限公司版权所有

中检所标准品,对照品,标准气体
Keywords: 中检所标准品 对照品 标准气体