欢迎光临:莱耀标准品网!
 您的位置:对照品 > 标准物质 > 铁标准物质 >
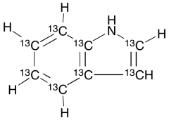
1-Azaindene-13C8
产品基本信息
产品编号:I577326
产品名称:1-Azaindene-13C8
产品CAS:
规格含量:2.5mg
产品价格:面议
联系我们:
产品详细介绍
标准品编号: I577326
名称: 1-Azaindene-13C8
别名: 1-Benzazole-13C8; 2,3-Benzopyrrole-13C8; Benzo[b]pyrrole-13C8
参考CAS号: 120-72-9
分子式: ¹³C₈H₇N
分子量: 125.09
种类: Building Blocks; Isotopic Labeled Analogues; Miscellaneous;
应用: 1-Azaindene-13C8 is an intermediate in the synthesis of Indole-3-carboxaldehyde-13C8 (I614993), the labelled version of Indole-3-carboxaldehyde (I615020) which is a tryptophan (T947200) metabolite from Streptomyces staurosporeus and it is chemical constituent from Inula wissmanniana. Indole-3-carboxaldehyde and other tryptophan metabolites play an important role in mammalian gut immune homeostasis.
参考文献


2011-2018 信阳莱耀生物科技有限公司 版权所有

中检所标准品,对照品,标准气体
Keywords: 中检所标准品 对照品 标准气体