您的位置:对照品 > 标准物质 > 铁标准物质 > |
|
|
|
| 产品基本信息 |
|
| 产品编号:L466228 |
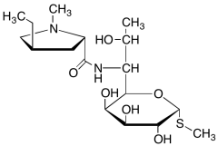
| 产品名称:Lincomycin B |
| 产品CAS:2520-24-3 |
| 规格含量:1mg |
| 产品价格:面议 |
| 联系我们: |
|
|
|
|
|
| 产品详细介绍 |
| 标准品编号: |
L466228 |
| 名称: |
Lincomycin B |
| 别名: |
(2S-trans)-Methyl 6,8-Dideoxy-6-[[(4-ethyl-1-methyl-2-pyrrolidinyl)carbonyl]amino]-1-thio-D-erythro-α-D-galactooctopyranoside; trans-4'-Ethyllincomycin; |
| CAS号: |
2520-24-3 |
| 分子式: |
C₁₇H₃₂N₂O₆S |
| 外观: |
White Foam |
| 分子量: |
392.51 |
| 溶解度: |
Methanol |
| 种类: |
Standards; Pharmaceutical/API Drug Impurities/Metabolites; Carbohydrates and Oligosaccharides; |
| 应用: |
A Lincomycin (L466200) analog. |
| 参考文献 |
|
|
|
|
|
|