您的位置:对照品 > 标准物质 > 铁标准物质 > |
|
|
|
| 产品基本信息 |
|
| 产品编号:M320245 |
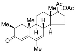
| 产品名称:(2β)-Methyl Megestrol Acetate |
| 产品CAS:1259198-59-8 |
| 规格含量:10mg |
| 产品价格:面议 |
| 联系我们: |
|
|
|
|
|
| 产品详细介绍 |
| 标准品编号: |
M320245 |
| 名称: |
(2β)-Methyl Megestrol Acetate |
| 别名: |
(2β)-17-(Acetyloxy)-2,6-dimethylpregna-4,6-diene-3,20-dione; Megestrol Acetate EP Impurity G |
| 杂质: |
Megestrol Acetate EP Impurity G |
| CAS号: |
1259198-59-8 |
| 参考CAS号: |
For 2α/β mixture: 1259198-59-8 |
| 分子式: |
C₂₅H₃₄O₄ |
| 外观: |
白色至淡黄色固体 |
| 熔点: |
196-199˚C |
| 分子量: |
398.54 |
| 储存: |
-20°C Freezer |
| 溶解度: |
Chloroform (Slightly), Methanol (Slightly) |
| 种类: |
Standards; Steroids; Pharmaceutical/API Drug Impurities/Metabolites; |
| 应用: |
(2β)-Methyl Megestrol Acetate (Megestrol Acetate EP Impurity G) is a related impurity in Megestrol acetate (M208050). |
| 参考文献 |
|
|
|
|
|
|
|
|