欢迎光临:莱耀标准品网!
 您的位置:对照品 > 标准物质 > 质控品 >
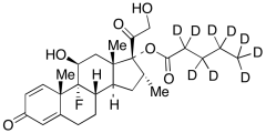
Dexamethasone Valerate-d9
产品基本信息
产品编号:D298872
产品名称:Dexamethasone Valerate-d9
产品CAS:
规格含量:2.5mg
产品价格:面议
联系我们:
产品详细介绍
标准品编号: D298872
名称: Dexamethasone Valerate-d9
别名: DV 17-d9; Dexamethasone 17-valerate-d9; 9-Fluoro-11β,17,21-trihydroxy-16α-methyl-pregna-1,4-diene-3,20-dione 17-Valerate-d9
参考CAS号: 33755-46-3 Unlabelled
分子式: C₂₇H₂₈D₉FO₆
分子量: 485.63
种类: Standards; Pharmaceutical/API Drug Impurities/Metabolites; Steroids;
应用: Dexamethasone Valerate-d9 is the isotope labelled analog of Dexamethasone Valerate. Dexamethasone Valerate is an impurity of Dexamethasone (D298800), which is a glucocorticoid that is used as an anti-inflammatory agent. Dexamethasone regulates T cell survival, growth, and differentiation. Dexamethasone inhibits the induction of nitric oxide synthase.
参考文献


2011-2018 信阳莱耀生物科技有限公司 @ 信阳埃尔文生物科技有限公司版权所有

中检所标准品,对照品,标准气体
Keywords: 中检所标准品 对照品 标准气体