您的位置:对照品 > 标准物质 > 质控品 > |
|
|
|
| 产品基本信息 |
|
| 产品编号:G601492 |
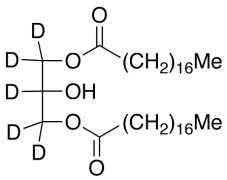
| 产品名称:Glyceryl 1,3-Distearate-d5 |
| 产品CAS:1246523-69-2 |
| 规格含量:25mg |
| 产品价格:面议 |
| 联系我们: |
|
|
|
|
|
| 产品详细介绍 |
| 标准品编号: |
G601492 |
| 名称: |
Glyceryl 1,3-Distearate-d5 |
| 别名: |
Octadecanoic Acid 2-Hydroxy-1,3-Propanediyl Ester-d5; 1,3-di-Stearin-d5; 1,3-Di-O-stearoylglycerol-d5; 1,3-Distearin-d5; 1,3-Distearoylglycerin-d5; 1,3-Distearoylglycerol-d5; Glycerin 1,3-Distearate-d5; Glycerol 1,3-Distearate-d5; Glyceryl 1,3-Distearate-d5; NSC 404229-d5; Stearic Acid Diglycerin Ester-d5; sn-1,3-Distearoylglycerol-d5 |
| CAS号: |
1246523-69-2 |
| 参考CAS号: |
504-40-5 - unlabelled |
| 分子式: |
C₃₉H₇₁D₅O₅ |
| 外观: |
白色固体 |
| 分子量: |
630.05 |
| 溶解度: |
Chloroform, Dichloromethane, Tetrachloromethane |
| 种类: |
Standards; Isotopic Labeled Analogues; Lipids/Fatty Acids, Glycerol Derivatives; |
| 应用: |
Glyceryl derivative. |
| 参考文献 |
|
|
|
|
|
|