欢迎光临:莱耀标准品网!
 您的位置:对照品 > 标准物质 > 质控品 >
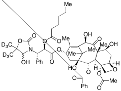
Hexanoyl Docetaxel Metabolites M1 and M3-d6(Mixture of Diastereomers)
产品基本信息
产品编号:H294467
产品名称:Hexanoyl Docetaxel Metabolites M1 and M3-d6 (Mixture of Diastereomers)
产品CAS:
规格含量:5mg
产品价格:面议
联系我们:
产品详细介绍
标准品编号: H294467
名称: Hexanoyl Docetaxel Metabolites M1 and M3-d6 (Mixture of Diastereomers)
分子式: C₄₉H₅₅D₆NO₁₆
分子量: 926.04
种类: Standards; Isotopic Labeled Analogues; Pharmaceutical/API Drug Impurities/Metabolites;
应用: Hexanoyl Docetaxel Metabolites M1 and M3-d6 is the isotope labelled analog of Hexanoyl Docetaxel Metabolites M1 and M3 (H294465); metabolites of Docetaxel (D494420) which is a semisynthetic derivative of Paclitaxel(P132500) and an antimitotic agent that promotes the assembly of micro-tubules and inhibits their de-polymerization to free tubulin. Also an antineoplastic.
参考文献


2011-2018 信阳莱耀生物科技有限公司 版权所有

中检所标准品,对照品,标准气体
Keywords: 中检所标准品 对照品 标准气体