欢迎光临:莱耀标准品网!
 您的位置:对照品 > 标准物质 > 质控品 >
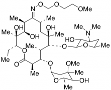
Roxithromycin (1.0 mg/mL in Methanol)
产品基本信息
产品编号:KIT8285
产品名称:Roxithromycin (1.0 mg/mL in Methanol)
产品CAS:80214-83-1
规格含量:
产品价格:面议
联系我们:
产品详细介绍
标准品编号: KIT8285
名称: Roxithromycin (1.0 mg/mL in Methanol)
别名: (9E)-9-[O-[(2-Methoxyethoxy)methyl]oxime] Erythromycin; Assoral; Brilid; Claramid; Forilin; Overal; RU 28965; RU 965; Rossitrol; Rotramin; Roxeptin; Roxid; Roxithromycin; Roxithromycin A; Rulid; Surlid;
CAS号: 80214-83-1
分子式: C₄₁H₇₆N₂O₁₅
分子量: 837.05
种类: Standards; Pharmaceutical/API Drug Impurities/Metabolites; Solutions; Kits;
应用: Semisynthetic Erythromycin derivative. Antibacterial. This compound is a contaminant of emerging concern (CECs).
参考文献


2011-2018 信阳莱耀生物科技有限公司 版权所有

中检所标准品,对照品,标准气体
Keywords: 中检所标准品 对照品 标准气体