欢迎光临:莱耀标准品网!
 您的位置:对照品 > 标准物质 > 质控品 >
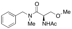
N-Methyl Lacosamide
产品基本信息
产品编号:M315210
产品名称:N-Methyl Lacosamide
产品CAS:
规格含量:10mg
产品价格:面议
联系我们:
产品详细介绍
标准品编号: M315210
名称: N-Methyl Lacosamide
别名: (R)-2-(Acetylamino)-3-methoxy-N-methyl-N-(phenylmethyl)-propanamide; (R)-2-Acetamido-N-benzyl-3-methoxy-N-methylpropanamide
参考CAS号: no stereochemistry: 388619-64-5
分子式: C₁₄H₂₀N₂O₃
外观: Clear Colourless to Yellow Thick Oil
熔点: N/A
分子量: 264.32
储存: 冰箱
溶解度: DMSO (Slightly), Methanol (Slightly)
种类: Building Blocks; Chiral Molecules; Amino Acids; Pharmaceutical/API Drug Impurities/Metabolites;
应用: N-Methyl Lacosamide is the methly analogue of Lacosamide (L098500), a medication used for the adjunctive treatment of partial-onset seizures and diabetic neuropathic pain. Lacosamide is a potent anticonvulsant.
参考文献


2011-2018 信阳莱耀生物科技有限公司 版权所有

中检所标准品,对照品,标准气体
Keywords: 中检所标准品 对照品 标准气体