唑来膦酸-15N2,13C2标准品
货号:Z623502
英文名称:Zoledronic Acid-15N2,13C2
别名:1-Hydroxy-2-(1H-imidazol-1-yl)ethylidene]-bisphosphonic Acid -15N2,13C2; 2-(Imidazol-1-yl)-1-hydroxyethane-1,1-diphosphonic Acid-15N2,13C; CGP-4244-15N2,13C6;
规格:1mg,10mg
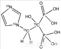
结构式:

CAS号:1189694-79-8
分子式:C313C2H1015N2O7P2
分子量:276.06
产品类别:莱耀生物标准品,北京莱耀生物提供
注:产品名称以英文名称为准
|