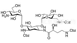
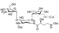
O-3-Amino-3-deoxy-α-D-glucopyranosyl-(1→6)-O-[6-deoxy-6-[[(phenylmethoxy)carbonyl]amino]-α-D-glucopyranosyl-(1→4)]-2-deoxy-N1-[(2S)-2-hydroxy-1-oxo-4-[[(phenylmethoxy)carbonyl]amino]butyl]-N3-[(phenylmethoxy)carbonyl]-D-Streptamine标准品
货号:A133110
英文名称:O-3-Amino-3-deoxy-α-D-glucopyranosyl-(1→6)-O-[6-deoxy-6-[[(phenylmethoxy)carbonyl]amino]-α-D-glucopyranosyl-(1→4)]-2-deoxy-N1-[(2S)-2-hydroxy-1-oxo-4-[[(phenylmethoxy)carbonyl]amino]butyl]-N3-[(phenylmethoxy)carbonyl]-D-Streptamine
别名: (S)-O-3-Amino-3-deoxy-α-D-glucopyranosyl-(1→6)-O-[6-deoxy-6-[[(phenylmethoxy)carbonyl]amino]-α-D-glucopyranosyl-(1→4)]-2-deoxy-N1-[2-hydroxy-1-oxo-4-[[(phenylmethoxy)carbonyl]amino]butyl]-N3-[(phenylmethoxy)carbonyl]-D-streptamine
规格:5mg,10mg
结构图:

CAS号:66567-34-8
分子式:C46H61N5O19
分子量:988
产品类别:标准对照品,北京莱耀生物提供
注:产品名称以英文名称为准
|