欢迎光临:莱耀标准品网!
 您的位置:对照品 > 标准品 >
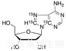
腺苷-13C5,15N1标准品
产品基本信息
产品编号:A280401
产品名称:腺苷-13C5,15N1标准品
产品CAS:
规格含量:0.5mg,5mg
产品价格:5300元,42000元
联系我们:
产品详细介绍

  腺苷-13C5,15N1标准品

  货号:A280401
  英文名称:Adenosine-13C5,15N1
  别名:9-β-D-Ribofuranosyl-9H-purin-6-amine-13C5,15N1; 9-β-D-Ribofuranosyladenine-13C5,15N1; Adenine Riboside-13C5,15N1; Adenocard-13C5,15N1; Adenocor-13C5,15N1; Adenogesic-13C5,15N1; Adenoscan-13C5,15N1; Adrekar-13C5,15N1; Boniton-13C5,15N1; D-Adenosine-13C5,15N1; 1-(6-Amino-9H-purin-9-yl)-1-deoxy-β-D-ribofuranose-13C5,15N1; Myocol-13C5,15N1; NSC 7652-13C5,15N1;
  规格:0.5mg,5mg
  结构图:
腺苷-13C5,15N1标准品
  分子式:C₈¹³C¹⁵CH₁₃N₄¹⁵NO₄
  分子量:272.23
  产品类别:标准对照品,北京莱耀生物提供
  注:产品名称以英文名称为准


2011-2018 信阳莱耀生物科技有限公司 @ 信阳埃尔文生物科技有限公司版权所有

中检所标准品,对照品,标准气体
Keywords: 中检所标准品 对照品 标准气体