己二酸-13C6标准品
货号:A291593
英文名称:Adipic Acid-13C6
别名:1,4-Butanedicarboxylic Acid-13C6; 1,6-Hexanedioic Acid-13C6; Acifloctin-13C6; Acinetten-13C6; Adilactetten-13C6; Adipinic Acid-13C6; Asapic-13C6; E 355-13C6; Inipol DS-13C6; NSC 7622-13C6; NSC 87836-13C6
规格:10mg
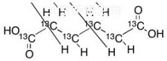
结构图:

CAS号:942037-55-0
分子式:¹³C₆H₁₀O₄
分子量:152.1
产品类别:标准对照品,北京莱耀生物提供
注:产品名称以英文名称为准
|