Benzylpenicillin Diethylaminoethyl Ester Hydroiodide标准品
货号:B288590
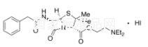
英文名称: Benzylpenicillin Diethylaminoethyl Ester Hydroiodide
别名: 3,3-Dimethyl-7-oxo-6-(2-phenylacetamido)-4-thia-1-azabicyclo[3.2.0]heptane-2-carboxylic acid 2-(Diethylamino)ethyl Ester Monohydriodide; (2S,5R,6R)-3,3-Dimethyl-7-oxo-6-[(phenylacetyl)amino]-4-thia-1-azabicyclo[3.2.0]heptane-2-carboxylic acid 2-(Diethylamino)ethyl Ester Monohydriodide;
Alivin; Benzylpenicillin β-diethylaminoethyl ester hydriodide; Bronchocillin; Bronchopen; Broncopen; Deripen; Diethylaminoethyl Ester Penicillin Hydriodide; Eficillin; Ephicillin Hydriodide; Estopen; Leocillin; Mamyzin; Neo-Penil; Penethacillin; Penethamate Hydriodide; Penethecillin; Penicillin G Diethylaminoethyl Ester Hydriodide; Pulmaxil N; Pulmo 500; β-Diethylaminoethyl Benzylpenicillinate Hydriodide;
规格:100mg
结构图:

CAS号:808-71-9
分子式:C₂₂H₃₂IN₃O₄S
分子量:561.48
产品类别:进口标准品,【莱耀生物】提供
注:搜索产品名称、编号、cas号即可显示价格
|