欢迎光临:莱耀标准品网!
 您的位置:对照品 > 标准品 > 英国药典 >
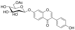
Daidzin 6''-O-Acetate
产品基本信息
产品编号:D103540
产品名称:Daidzin 6''-O-Acetate
产品CAS:71385-83-6
规格含量:
产品价格:面议
联系我们:
产品详细介绍
标准品编号: D103540
名称: Daidzin 6''-O-Acetate
别名: 7-[(6-O-Acetyl-β-D-glucopyranosyl)oxy]-3-(4-hydroxyphenyl)-4H-1-benzopyran-4-one; 6''-O-Acetyldaidzin;
CAS号: 71385-83-6
分子式: C₂₃H₂₂O₁₀
分子量: 458.41
种类: Standards; Pharmaceutical/API Drug Impurities/Metabolites;
应用: A metabolite of isoflavone derivatives. A derivative of Daidzin (D103530). Inhibitor.
参考文献


2011-2018 信阳莱耀生物科技有限公司 @ 信阳埃尔文生物科技有限公司版权所有

中检所标准品,对照品,标准气体
Keywords: 中检所标准品 对照品 标准气体