您的位置:对照品 > 标准品 > 英国药典 >
产品基本信息
产品编号:D151740
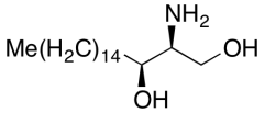
产品名称:L-threo-Dihydrosphingosine
产品CAS:15639-50-6
规格含量:100mg
产品价格:面议
联系我们:
产品详细介绍
标准品编号:
D151740
名称:
L-threo-Dihydrosphingosine
别名:
(2S,3S)-2-Amino-1,3-octadecanediol; L-threo-2-Amino-1,3-octadecanediol; [S-(R*,R*)]-2-Amino-1,3-octadecanediol; (-)-threo-Dihydrosphingosine; L-(-)-threo-Sphinganine; SPC 100270; Safingol
CAS号:
15639-50-6
分子式:
C₁₈H₃₉NO₂
分子量:
301.51
种类:
Standards; Enzyme Activators and Inhibitors;
应用:
L-threo-Dihydrosphingosine is a lyso-sphingolipid protein kinase C inhibitor. It suppresses the growth of human oral squamous cell carcinoma (SCC) cells.
参考文献
Schwartz, G., et al.: Clin. Cancer. Res., 3, 537 (1997); Sachs, C., et al.: J. Biol. Chem., 270, 26639 (1995); Hamada, M., et al.: Apoptosis, 11, 47 (2006)